Atomic Astute Alliance
Home
About Us
Products
Services
Contact Us
Home
/
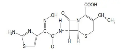
Cefdinir
Raw Materials
Intermediates
Impurities
Cefdinir
An antibiotic used to treat certain bacterial infections.
Specifications
CAS No.
91832-40-5
Molecular Weight (g/mol)
395.4100
Molecular Formula
C14H13N5O5S2