Atomic Astute Alliance
Home / Carvedilol

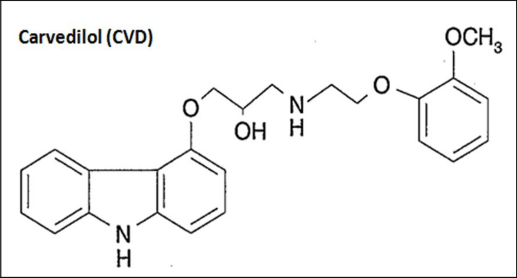
Carvedilol

A heart medication used to treat heart failure, high blood pressure and to reduce the risk and severity of heart attacks in patients who are at risk.

CAS No. 72956-09-03
Molecular Weight (g/mol) 406.4700
Molecular Formula C24​H26​N2​O4​