Atomic Astute Alliance
Home
About Us
Products
Services
Contact Us
Home
/
Levetiracetam
Raw Materials
Intermediates
Impurities
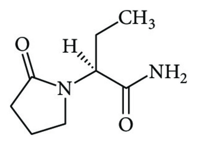
Levetiracetam
A medication used to treat seizures.
Specifications
CAS No.
102767-28-2
Molecular Weight (g/mol)
170.2100
Molecular Formula
C₈H₁₄N₂O₂